python 函数 引用传递_传递函数_php函数 传递数组

课程名称:控制工程基础

课程类型:专业基础核心课

课程章节:3.2节 传递函数

教教师师:何玉灵 袁兴华 张红莲 王海朋

院院系系:机械工程系

一、课程介绍与课程目标

1.课程介绍

《控制工程基础》是以经典控制论为基础的信息科学和技术科学,研究机械工程中广义系统的动力学控制问题。学生需要学习掌握控制理论的基本原理和分析方法,培养将局部与整体结合来分析问题的思维习惯,获得应用经典控制论的知识分析机械控制问题与解决其中问题的能力,并进行价值观的塑造。本课程关键信息如图1所示,发展节点如图2所示。

php函数 传递数组_传递函数_python 函数 引用传递

图1课程关键信息一览

图2本课程发展节点示意图

《控制工程基础》是一门理论性强和抽象性高的课程,承担着世界观、人生观、价值观塑造的任务。本课程的典型研究方法是通过对系统特性的数学解析,建立输入输出参量的传递函数,围绕传函的时域、频域响应特性和系统稳定性分析而形成科学统一的理论体系,并将这一理论体系应用于工程实践,同时进行验证和发展。这与马克思主义者揭示的科学的世界观方法论是一致的。因此本课程的课程思政内容集中于通过思政元素的融入逐步树立培养学生科学的世界观,构建民族自信,形成正确的人生观,激励学生奋发向上,爱国爱校爱家爱专业,建立优学为国、砥砺前行的价值观。

2.课程目标

基于产出导向理念,专业人才培养目标对课程提出了知识学习、思维习惯培养、能力提升、价值塑造的四维培养目标。结合本课程理论性强抽象性高的特点,考虑学生的高阶、创新能力的发展需求,将课程目标从低到高依次细化为基础阶、提升阶和创新阶三个阶段,从而形成了“三阶四维”课程目标矩阵。基于这一培养思路,构建本课程“课程思政”的体系化设计逻辑和本课程拟训练该达到的知识、能力、价值目标如图3所示。

传递函数_php函数 传递数组_python 函数 引用传递

图3 本课程“课程思政”体系化设计思路目标定位示意图

二、案例介绍与教学目标

1.案例介绍

本案例为《控制工程基础》课程3.2节系统传递函数求取的内容。本案例通过引入大国重器并进行抽象简化为研究性求解课题,通过研究性课题的求解来实现对知识学习、思维习惯培养、分析求解能力锻炼和家国情怀的树立增强,让学生逐步树立民族自信,逐步实现工匠创新精神的培养,逐步达到优学为国的价值观塑造,相应的元素挖掘及思政体系重构如图4所示。

传递函数_python 函数 引用传递_php函数 传递数组

图4本课程思政元素挖掘及思政体系重构示意图

2.教学目标

本案例通过对典型大国重器案例的抽象和简化将其凝练为研究性求解课题,使学生以问题为导向,在求解研究性课题的过程中逐步学习和掌握传递函数的核心知识,培养局部与整体结合来看待分析问题的思维习惯,锻炼举一反三、学以致用的工程问题分析求解能力,深入了解大国重器背后的科学故事,树立强烈的民族自信,形成优学为国、砥砺奋进的家国情怀和科学价值观。

三、案例设计与教学过程

1.案例设计

本案例采用课前播放我国自主研发的玉兔二号探月车的工作视频传递函数,课堂初始抛出研究性案例求解问题:如何建立模型分析探月车筛网轮所受地面冲击力与车体垂直振动位移的函数关系?课中结合案例问题求解需求进行知识学习和Matlab编程求解、课后进行求解报告撰写及作业巩固的方式开展课程教学活动。逐步引导学生发现并提出问题、分析问题并建立求解模型、应用现代计算机工具编程求解问题、规范分析总结求解结果并进行反思改进,通过从总体到局部切入,再从局部回归总体的学习过程培养学生在课堂的收获感和满足感,为学生讲好中国故事,强化他们优学为国、服务民族复兴的家国情怀。

2.教学过程

1. 前序知识学习说明

学生在前续课程已学习了常见函数的拉氏变换、拉氏变换的特性、Matlab编程语言基础和符号运算基础,均由本课程在前面一章中进行了讲授和训练,学生平均水平可进行拉变换应用和基本的Matlab编程、符号运算代码编写。

php函数 传递数组_传递函数_python 函数 引用传递

2.课前播放玉兔探月车工作视频(4分钟)

上课前10分钟,播放我国自主研发的玉兔二号探月车的工作视频,揭秘“弹性筛网轮”、“6轮全驱防陷悬架系统”、“月球背面首次软着陆”等细节,对比欧美当前同类技术水平状态,彰显人文、科技、智慧大国的综合国力,树立学生民族自信,视频播放截图如图5所示。视频同时上传至课堂派,以防部分同学错过观看。

传递函数_python 函数 引用传递_php函数 传递数组

图5玉兔探月车工作视频播放截图

3.课堂初始聚焦细节抛出问题(5分钟)

视频定位至弹性筛网轮承受月球表面不平坑洼石块冲击的画面细节,如图5 (b)所示,抛出本次课的案例求解问题:如何建立模型分析探月车筛网轮所受地面冲击力与车体垂直振动位移的函数关系?

4.根据问题进行启发式定向教学(40分钟)

要建立模型分析探月车筛网轮所受地面冲击力与车体垂直振动位移的函数关系,首先要对探月车进行模型抽象与简化分析,其次要细致讲授函数建立求解的详细方法和过程。

1)模型抽象与简化(10分钟)

所有机械部件均可抽象简化为三个基本的元素,分别是质量块、弹簧、阻尼。其中:

质量块受到的惯性力正比于加速度,即位移的两次求导;弹簧所受的弹性回复力正比于弹簧变形量,即其位移;阻尼受到的阻尼力正比于速度,即位移的一次求导,三个基本元素的输入输出核心信息如图6所示。

传递函数_python 函数 引用传递_php函数 传递数组

图6机械系统三种核心元素的抽象等效模型

2)传递函数的求解方法与过程(30分钟)

步骤A:引入传递函数(5分钟)

传递函数的定义:零初始条件下线性系统输出与输入的拉氏变换之比。

三个核心关键词:①零初始条件:指零时刻及零时刻以前系统输出为零;②线性系统:满足叠加性与齐次性的系统,提示学生回忆线性代数内容;③输出与输入的拉氏变换,复习上节课拉氏变换的核心知识点(2分钟,重点是微分定理)。

步骤B:传递函数求解方法(8分钟)

关键四步:①确定哪个参量是输入量,哪个参量是输出量;②根据力学平衡定律列出微分方程;③化简消去中间变量,将中间变量用输入量或输出量表示,同时写成输出在等号左侧、输入在等号右侧,并均按微分次数降阶排列;④对等号两边进行拉氏变换,并根据定义用输出的拉氏变换比输入的拉氏变换求取传递函数表达式。

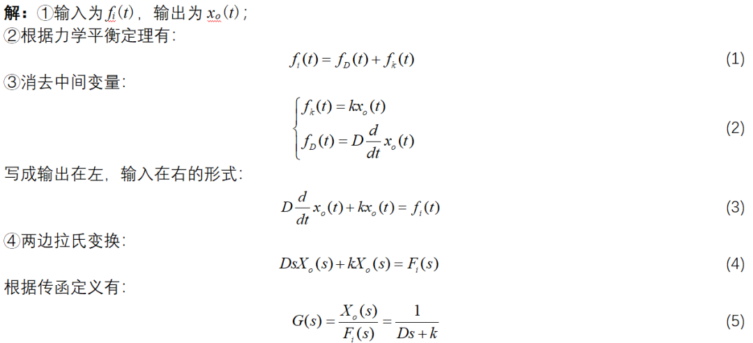
步骤C:例题分析(8分钟)

有一弹簧阻尼系统如图7所示,试求输入为fi(t),输出为xo(t)的系统传函。

python 函数 引用传递_传递函数_php函数 传递数组

python 函数 引用传递_php函数 传递数组_传递函数

图7弹簧阻系统示意图

python 函数 引用传递_传递函数_php函数 传递数组

步骤D:课堂练习巩固(9分钟)

举一个一阶RC电路例子进行课堂练习巩固,如图8所示。

php函数 传递数组_传递函数_python 函数 引用传递

图8课堂练习用一阶RC电路

学生求解5分钟,讲解4分钟。

5.课间答疑与思路引导(10分钟,提示2分钟,供学生思考及答疑8分钟)

前面学习了弹簧阻系统的传递函数求取过程,但其中没有质量块。

两点启示:①探月车有无质量块?②加入质量块以后力学平衡方程如何变化?

6.探月车传函求取及Matlab编程求解(45分钟)

1)探月车所受冲击力与振动位移的传函求解(10分钟)

画出探月车的抽象等效模型,如图9所示。

php函数 传递数组_传递函数_python 函数 引用传递

图9探月车抽象等效模型

python 函数 引用传递_php函数 传递数组_传递函数

2)传函的Matlab求解(30分钟)

步骤A:基本编程命令讲授(7分钟)

分子分母系数表示:num=[a,b,c]; den=[e,f,g];%给学生讲解分子分母英文单词,说明num和den是分子分母对应英文单词的前3个字母

传递函数求取命令:

sys=tf(num,den);disp(sys);%举图10对应系统的传函求解例子来解

步骤B:学生传递函数编程求解(15分钟)

条件:

单位归一化后k=1000,M=10,D=120,求取传函。

注意四处巡查,随时答疑。

步骤C:程序示例及答案解析(8分钟)

公布参考程度并进行解答:

k=1000;

M=10;

D=120;

num=[1];

den=[M, D, k];

sys=tf(num,den)

7.总结性复习,求解报告布置及课后作业布置(5分钟)

结合板书,强调传函求解的四个步骤。

通过对比半世纪来各国探月器发射历程和技术特点总结国家航天领域取得的重大进步,升华民族自豪感,激发学生优学为国、砥砺奋进的科学价值观和家国情怀。

思考:若要尽量降低探月车受地面冲击载荷的振动幅值,可以对M、D和k作怎么样的取值设计?请将其写入求解报告。

课后作业:3-3,3-5,3-6。

python 函数 引用传递_php函数 传递数组_传递函数

四、案例特色与教学创新

1.案例特色

传递函数_php函数 传递数组_python 函数 引用传递

图10本课程的课程思政案例与知识点融合体系示意图

基于图10所建立的思政案例与知识点融合体系,本课程采用课前播放大国重器介绍视频,课堂初始抛出研究性案例求解问题,课中结合案例问题求解需求进行知识学习和Matlab编程求解、课后进行求解报告撰写及作业巩固的方式开展课程教学活动。课程教学团队同时从教学模式传递函数,上课方式、考核机制等多个方面进行了课程改革,逐步引导学生发现并提出问题、分析问题并建立求解模型、应用现代计算机工具编程求解问题、规范分析总结求解结果并进行反思改进,通过从总体到局部切入,再从局部回归总体的学习过程培养学生在课堂的收获感和满足感,为学生讲好中国故事,强化他们优学为国、服务民族复兴的家国情怀。

2.教学创新

为支持课程思政与研究性教学结合的课程改革,课程教学团队对课程评价方式进行了调整,包括常规性评价,创新性评价,考核性评价,可为教学设计提供改进的参考和依据,也可以对学生进行引导,并激发其自主学习的积极性和主观动力。本课程的考评体系如图11所示。

python 函数 引用传递_php函数 传递数组_传递函数

图11本课程考评体系示意图

五、教学成效与教学反思

1.教学成效

新时代背景下,《控制工程基础》等具备电力特色的机械工程专业基础核心课程既面临着课程思政建设的巨大挑战,同时也存在巨大机遇。运用好思政元素,对课程进行用心改革,激发学生的家国情怀和学习热情,激励他们树立优学为国的价值观,是提升学生学习效果和提升我校工程认证教育水平的重要举措。

2.教学反思

本课程为控制工程基础及类似专业基础课程的课程思政建设提供了做法参考和改革思路,后续还将不断努力,争取将其建设为思政元素丰富、教学效果一流的金课。

参 考 文 献

[1] 杨文刚.理论力学课程思政体系化建设研究[J].电力高等教育,2022.9

[2] 何玉灵,袁兴华.控制工程基础[M].中国电力出版社,2020

限 时 特 惠: 本站每日持续更新海量各大内部创业教程,加站长微信免费获取积分,会员只需38元,全站资源免费下载 点击查看详情
站 长 微 信: thumbxmw