大拇指项目网
  • 首页
  • 加入会员(特权介绍)五折
  • 实操项目
  • 免费项目
  • 卡密挂机
  • AI项目
  • 国外项目
  • 游戏项目
  • 引流项目
  • 自己开网站赚钱
登录

公式

序号4带圈怎么打出来 [word] 手把手教您如何在word中设置等式序号
生活百科

序号4带圈怎么打出来 [word] 手把手教您如何在word中设置等式序号

手把手教您如何在word中设置等式序号序号要与数式主体对齐,排在一条水平线上。3.如果几个数...
2年前 4.8K
经纬度转换器在线转换度分秒 【一起学Excel(三)】在Excel中怎么将经纬度数值转换成度分秒?
生活百科

经纬度转换器在线转换度分秒 【一起学Excel(三)】在Excel中怎么将经纬度数值转换成度分秒?

excel中怎么将经纬度数值转换成度分秒即可完成数值与度分秒的转换。备注:B3是经纬度数值所...
2年前 6.8K
槽钢比重 钢材重量计算公式大全,包括 方钢、槽钢、工字钢、行走江湖必备!
生活百科

槽钢比重 钢材重量计算公式大全,包括 方钢、槽钢、工字钢、行走江湖必备!

钢的密度ρ为:7.85g/cm3,由此得出各种钢材理论重量计算公式如下:计算举例:断面直径为...
2年前 411
杜邦分析公式 【公式篇】100个纯干货知识点助你从零建立起完整的数据分析体系
生活百科

杜邦分析公式 【公式篇】100个纯干货知识点助你从零建立起完整的数据分析体系

在上篇文章中为大家介绍了100个数据知识点的【定义篇】,本篇文章我们来介绍【公式篇】为了方便...
2年前 413
∫e^(-x^2)不定积分 高数5 | 我和不定积分有场约……
生活百科

∫e^(-x^2)不定积分 高数5 | 我和不定积分有场约……

学霸君:别着急,我之前已经了解过了,不定积分军基本上都是以这十三种为基础的此方法主要是求无理...
2年前 9.0K
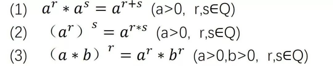
指数函数运算法则 指数幂的运算法则
生活百科

指数函数运算法则 指数幂的运算法则

指数幂的运算法则——书本上的给出的幂运算法则我们看到这公式底数a、指数r和s的来回加减乘的,...
2年前 8.3K
excel固定单元格 Excel基本功:公式中的单元格引用方式
生活百科

excel固定单元格 Excel基本功:公式中的单元格引用方式

当咱们输入一个公式后,能够快速将公式复制到具有相同运算规则的其他单元格。公式复制到D3单元格...
2年前 560
e^x^2的不定积分 神奇的高数!不定积分竟然解出一个新的三角公式
生活百科

e^x^2的不定积分 神奇的高数!不定积分竟然解出一个新的三角公式

用不同的方法解不定积分,往往会得到不同形式的结果,老黄在上面的作品中已经提到过了。然而下面这...
2年前 1.3K
临界温度是什么意思 【论文精选】混合工质临界温度和临界压力预测
生活百科

临界温度是什么意思 【论文精选】混合工质临界温度和临界压力预测

使用这些公式,分别预测6种二元工质的临界温度和临界压力。①在对二元工质临界温度预测中,Gri...
2年前 913
透视表行标签并列显示 不用加班做,Excel 万能排行榜来了!
生活百科

透视表行标签并列显示 不用加班做,Excel 万能排行榜来了!

在实际工作中,我们总需要根据明细表生成排行榜。下面是高顿君以前发布的几个排行榜公式:【例】根...
2年前 736
3阶魔方教程 三阶魔方基础教程——层先法复原参考【新手向/GIF图文】
生活百科

3阶魔方教程 三阶魔方基础教程——层先法复原参考【新手向/GIF图文】

层先自身高度公式化、刻板化和对cfop的流畅衔接使其在入门公式领域形成了绝对垄断的地位,而毋...
2年前 4.9K
工作目录 能跳转的Excel工作表目录,升级通用版
生活百科

工作目录 能跳转的Excel工作表目录,升级通用版

前段时间给大家分享了在Excel工作表创建目录的方法,但是很多同学反馈说还有一点问题,如果工...
2年前 233
excel怎么计算时间差值 财务常用Excel函数大全,现在收藏还不晚!
生活百科

excel怎么计算时间差值 财务常用Excel函数大全,现在收藏还不晚!

主要功能:求出所有参数的算术平均值。应用举例:在B8单元格中输入公式:=AVERAGE(B7...
3年前 746
圆台侧面积公式 初中数学考试必备公式(一)
生活百科

圆台侧面积公式 初中数学考试必备公式(一)

直棱柱侧面积S=c*h斜棱柱侧面积S=c‘*h正棱锥侧面积S=1/2c*h’正棱台侧面积S=...
3年前 557
圆台侧面积公式 工程常用几何计算公式及计算方法汇总
生活百科

圆台侧面积公式 工程常用几何计算公式及计算方法汇总

我已多次发布过类似公式和计算方法,又重新补充了三角形、多边形、圆锥、圆台的面积和体积计算公式...
3年前 1.2K
大拇指项目网

有事请咨询站长微信
关注公众号

Copyright © 2021 资源来自互联网收集,不代表本站立场,仅限学习交流使用。请遵循相关法律法规,请在下载后24小时内删除。如有侵权争议、不妥之处请联系本站删除处理!请用户仔细辨认内容的真实性,避免上当受骗。鄂ICP备2023006240号京公网安备中

  • 个人中心
  • 卡密挂机
  • 加入会员
  • 成为站长
  • 顶部
AI项目 [网赚项目] 优质微信群 免费项目 副业 国外项目 实操项目 小红书 抖音 挂机 淘宝 生活百科 生活百科 电影 直播 短视频 视频 音乐